Vlada Republike Srpske – Generalni sekretarijat Vlade juče je objavila obavještenje o nabavci putničkih motornih vozila. Za kupovinu novih automobila, prema ovoj nabavci, Vlada RS će izdvojiti do 210 000 KM bez PDV-a.
Rok za prijem ponuda je 16. 3.2020. godine, nakon čega će se otvarati ponude i na osnovu kriterijuma, utvrđenih tenderskom dokumentacijom, odlučiti s kim će biti sklopljen ugovor.
Vlada Republike Srpske je samo 2017. godine utrošila vrtoglavih 316 000 KM za nabavku 3 nova automobila.
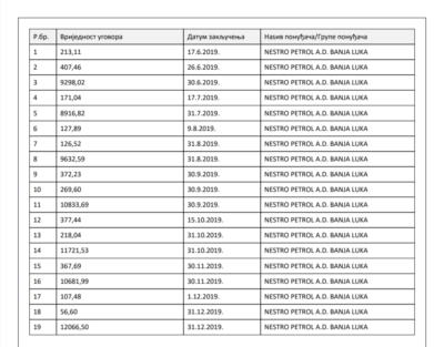
Da su automobili bitna stavka u budžetu Vlade RS, a i ministarstava pojedinačno, govore podaci da Vlada RS izdvaja skoro 220 000 KM bez PDV-a samo za gorivo. Okvirni sporazum na period od dvije godine, koji je potpisan 22.5.2019., sklopljen je sa pumpom NESTRO PETROL a.d. Banja Luka, a vrijednost ugovora je 218 134 KM bez PDV-a.

Za nabavku i montažu ljetnjih guma, Vlada RS prošle godine je izdvojila oko 6 000 KM bez PDV-a. Ugovor je dodjeljen firmi AUTOSERVIS I DIJELOVI BL D.O.O.
Takođe, sva službena vozila Vlade RS-Generalnog sekretarijata Vlade su osigurana. Za osiguranje službenih automobila izdvajaju skoro 14 000 KM bez PDV-a, a prošle godine je ugovor potpisan sa firmom DRINA OSIGURANJE A.D. MILIĆI.
Ovdje ne treba zaboraviti ni redovna servisiranja i održavanja automobila, ali ni vanredne popravke i ulaganja, te da je za većinu spomenutih troškova potrebno svake godine izdvajati određene sume novca.
Treba da se napomene da se svi podaci odnose samo na Generalni sekretarijat Vlade RS, dok svako ministarstvo pojedinačno, takođe, troši novac na nabavku službenih automobila, osiguranja, nabavke guma, servisiranja itd.
(infoveza.com)





