Iz Sipe nisu odgovorili na moj upit u vezi sa tim, ali činjenica je da su otpočeli sa prikupljanjem dokumentacije i da će teško moći da prikriju nedjela počinjena u ovom slučaju.
![]() |
| Ugovor Instituta i “Travel4Fun” |
Institut je, nakon izbijanja ove afere u javnost, pokušao da ublaži nezakonito djelovanje navodeći da je “Travel4Fun” bio dio grupe ponuđača sa firmom “Promeding” d.o.o. iz Laktaša koja ima dozvolu Agencije za lijekove BiH, ali firma “Promeding” se ne pominje u obavještenju Instituta na portalu javnih nabavki, niti je ima u ugovoru koji je Institut potpisao sa turističkom agencijom “Travel4Fun”, 10.04.2020..
![]() |
| Ugovor Instituta i “Travel4Fun” |
5.
Vlasnik i direktor turističke agencije “Travel4Fun” iz Banjaluke Saša Marković.
To, praktično, znači da nedostaje gotovo svih 2,385 miliona KM, za koliko je oštećen Institut za javno zdravstvo, odnosno budžet RS.
Nakon predugog ćutanja iz Instituta za javno zdravstvo RS su dali izjavu TV N1 u kojoj su ustvrdili da je sa “Travel4Fun” potpisan ugovor na 1.885.000 KM, odnosno pola miliona manje nego što je navedeno u samom ugovoru.
![]() |
| Izvor: N1-odgovor Instituta TV N1 |
To je prva laž koju su iz Instituta javno emitovali o ovoj aferi pranja novca, jer dokumentacija svjedoči da je ugovor potpisan na vrijednost od 2,385 miliona KM, bez PDV-a.
7.
Druga laž, koju su saopštili iz Instituta je da je “Travel4Fun” bio član grupe ponuđača, među kojima je i firma “Promeding”, jer se “Promeding” nigdje ni slovom ne pominje u ugovoru između Instituta i “Travel4Fun”.
![]() |
| Izvor N1 – odgovor Instituta N1 |
8.
Iz instituta su još naveli da plaćaju samo ono što je isporučeno, te da su isplatili milion KM (sa PDV-om) za 20.000 zaštitnih odijela koja su im, kako tvrde, isporučena.
Precizirali su da su naručili 30.000 zaštitnih odijela, 50.000 FFP2 maski, te 500 digitalnih bezkontaktnih termometara.
9.
U Ugovoru koji je Institut potpisao sa “Travel4Fun” navedeno je da je predmet nabavke “medicinska zaštitna oprema”/”medicinski potrošni materijal”, da je ukupna količina 80.500 komada i nigdje se ne pominju digitalni termometri.
![]() |
| Ugovor Instituta i “Travel4Fun” |
10.
Činjenica je da su ogromne razlike između onoga što saopštavaju javnosti iz Instituta i ugovora koji su potpisali, tako da ne bi trebalo začuditi da su naknadno falsifikovali dokumentaciju, što bi trebalo da utvrdi Sipa, pod uslovom da budu radili svoj posao kako treba, a ne u skladu sa političkim instrukcijama, čemu je presklon Đuro Knežević, vršilac dužnosti Direktora Agencije za istrage i zaštitu BiH.
11.
Činjenica je i da je firma “Promeding” za Institut za javno zdravstvo uvezla medicinske opreme u vrijednosti od 800.955 KM. Iako nema nikakav ugovor sa Institutom!!!
Veoma su bitni datumi kada je ta roba uvezena.
12.
“Promeding” je, 02. i 03.04., uvezao 30.000 zaštitnih odijela (644.875 KM) i 50.000 zaštitnih maski KN95 (36.066, 37 KM).
![]() |
| Promeding, uvoz |
Ta medicinska oprema je uvezena osam, odnosno sedam dana prije potpisanog ugovora između Instituta i turističke agencije “Travel4Fun”, sa kojom je navodno radio “Promeding”, iako ih nema u ugovoru.
13.
Podatak da je roba uvezena prije potpisivanja ugovora jasno ukazuje da je riječ o namještenom poslu; Tu nema nikkave dileme, pod uslovom da je “Promeding” ovu robu uvezao za turističku agenciju.
To je više nego jasan dokaz o teškoj zloupotrebi koju je počinio Branislav Zeljković, direktor Instituta.
14.
“Promeding” je uvezao, 14.04., 67.650 zaštitnih maski KN 95 u vrijednosti od 23.978,69 KM.
| Promeding, uvoz |
Uočljivo je da su iz Instituta saopštili da im je “Promeding” isporučio 50.000 FFP2 zaštitnih maski, iako su oni uvezli one sa oznakom KN 95, što znači da Zeljković i njegovi podređeni lažu.
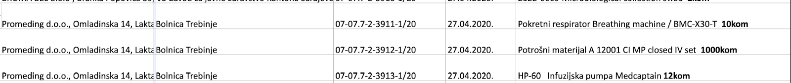
15.
Konačno, 27.04., “Promeding” ima tri uvoza – deset pokretnih respiratora “Breathing machine”/BMC-X30-T (59.916 KM ), zatim “Potrošni materijal A 120001 CI MP closed IV set” – hiljadu komada (3.912 KM), te dvanaest komada “HP-60 Infuzijska pumpa Medcaptain” (35.208 KM).
![]() |
| Promeding, uvoz |
16.
Kada se uporedi Zeljkovićeva izjava oko toga šta im je “Promeding” isporučio i vrsta medicinske opreme koju je “Promeding”, bez ikakvog ugovora, uvezao za Institut, jasno je da Zeljković laže, jer se njegove tvrdnje poklapaju sa uvozom samo u dijelu zaštitnih odijela.
17.
Kako jedno odijelo košta 21,49 KM (644.875KM:30.000), te kako Zeljković tvrdi da im je “Promeding” isporučio 20.000 zaštitnih odijela, to znači da je njihova vrijednost 429.916,667 KM (20.000×21,49 KM), što je daleko od milion maraka koliko je platio Institut.
Bezkontaktnih digitalnih termometara nema nigdje u dokumentaciji, ni da su naručeni, niti da su uveženi. Ali su, kako Zeljković tvrdi, kupljeni.
![]() |
| Branisalav Zeljković |
18.
Budući da se ne poklapa ni vrsta maski (Zeljković tvrdi da su kupili 50.000 FFP2 maski, a “Promeding” je uvezao ukupno 117.650 komada KN95 maski), nema nikakve dileme da u Institutu pokušavaju da falsifikatima, neistinama i lažima spriječe istragu i pokriju prljave poslove sa turističkom agencijom “Travel4Fun”
19.
Istraga u cijelom ovom slučaju ne bi trebalo da bude naporna i da dokaže milionske prevare, ali je osnovana velika sumnja da će Sipa, pod vođstvom Đure Kneževića, kao i Tužilaštvo BiH, išta uraditi povodom ovih teških krivičnih djela, jer su pod čvrstom političkom kontrolom.
Transparency international u Bosni i Hercegovini podnio je, 30.05., krivičnu prijavu Okružnom javnom tužilaštvu Banja Luka protiv rukovodstva Instituta za javno zdravstvo RS zbog sklapanja ugovora vrijednog 2,38 miliona KM o nabavci medicinske zaštitne opreme sa turističkom agencijom Travel4Fun.

















